43 bill of rights lesson plan

PDF Bill-of-Rights.pmd | Lesson Plan The Bill of Rights. Lesson Plan. III. History-Social Science Standards Addressed. 5.7 Students describe the people and events associated with the development of the U.S. Constitution and analyze the Constitution's significance as the foundation of the American republic. S.B. 157 Parental Rights in Public Education Bill Numbered but not Distributed: Legislative Research and General Counsel: 2/1/2022 : Numbered Bill Publicly Distributed: Legislative Research and General Counsel: 2/1/2022 : LFA/ bill sent to agencies for fiscal input: Legislative Research and General Counsel: 2/2/2022 : Senate/ received bill from Legislative Research: Waiting for ...

Bill of Rights Lesson Plans & Worksheets :: 169 - 192 In this Bill of Rights lesson, students read the U.N. Declaration on Rights of the Child. Student presenters lead a discussion of these rights and Students examine the bill of rights as it relates to founding documents and their significance today. In this bill of rights lesson plan, students use...

Bill of rights lesson plan

Bill of rights lesson plan

Bill of Rights Lesson Plan with Socrative.com Quiz - Mr. Glusco Lesson Plan: LEARNING FOCUSED SCHOOLS LESSON PLAN Teacher: Carson… · Bill of Rights Poster - Students will pick one of the ten amendments in the Bill of Rights to design a poster for. Students must conduct research on a court case that involves their amendment to include a... Explaining the Bill of Rights Lesson Plan - Lesson plans for teachers LessonPlans.com archives lesson plans so you can easily find the lessons you need. * define the terms Bill of Rights and amendment, * successfully explain the meaning of each amendment to the Bill of Rights, and * work together in cooperative groups. PDF The Bill of Rights - Alive! "200 Years Young" | The Lesson Plans Bill of Rights Lesson Plan Format. Some of the lessons are short and can be completed in one class period. Other lessons are longer and may take Each lesson contains all of the information you will need to plan for and conduct a successful exercise. The format for the Bill of Rights lesson plans is...

Bill of rights lesson plan. Reading About Our Rights | Lesson Plan | Education.com Guided Lessons. Lesson Plans. Grade level. Let's read about our rights! In this social studies and language arts lesson, students learn about the Bill of Rights and participate in some fun writing activities.. Bill of Rights Lesson Plan: Debate the Amendments! | BrainPOP... In this lesson plan, which is adaptable for grades 6-12, students use BrainPOP resources to gain familiarity with the U.S. Bill of Rights. Students will determine how the Bill of Rights is relevant to American citizens today and practice their debating skills in authentic contexts. Bill of Rights Lesson Plan | ELA Common Core Lesson Plans Tired of the same old lesson plans on the Bill of Rights? This interactive lesson involves multiple learning styles and full class participation. As punishment, he made me create a lesson plan on the Bill of Rights and distribute them to every teacher in the district. Stanza by Stanza Summary of “The Raven” with Lesson Plan 2.4.2018 · Poe's "The Raven" is not only an American classic, it's a favorite of high school students around the world. That being said, it's still poetry and, therefore, can be difficult to understand. Read this summary of "The Raven" to review the poem and get a better understanding. You can find a handout for the "Raven"

Force & Motion Lesson Plan | Study.com Teach your young students about force and motion with this easy-to-read lesson plan. Students learn what force and motion are and about their relationship, then apply concepts to a game. No Bill of Rights, No Deal (HS) | Bill of Rights Lesson Plan | iCivics In this lesson, students learn why the federalists thought the Constitution didn't need a bill of rights and why the anti-federalists refused to accept the Constitution Got a 1:1 classroom? Download fillable PDF versions of this lesson's materials below, or check out the Google-based resources here. Lesson Plan The Bill of Rights: Debating the Amendments - loc.gov Lesson Plan The Bill of Rights: Debating the Amendments [Detail] Proposed Amendments to the Constitution, 1789 Jump to: Preparation; Procedure; Evaluation; In this lesson, students will examine a copy of twelve possible amendments to the United States Constitution as originally sent to the states for their ratification in September of 1789. We the Civics Kids Lesson 3: The Bill of Rights Lesson three continues to develop the students' understanding of the Constitution by examining the Bill of Rights. The narrative provides an historical background for the writing of the first ten amendments, as well as the reasons why each amendment was seen as crucial to the states...

Bill of Rights Lesson + Poster: Teach Students to Think Like Historians This free Bill of Rights lesson plan and classroom poster helps students build critical thinking skills through fun inquiry-based activities. Your students will see the Bill of Rights come to life as they pretend to be lobbyists trying to get the representatives to keep their amendments. PDF The Bill of Rights Bill of Rights Powerpoint • Using the Bill of Rights Handout • Computers with Internet Access for icivics.org. Bill of Rights PowerPoint and Discussion • iCivics Activity • Using the Bill of Rights Simulation • Quiz • OPTIONAL: iCivics Lesson Plans • OPTIONAL: Skit Creation. Understanding the Bill of Rights Lesson Plan | Study.com In this lesson, students will examine the Bill of Rights and get a closer look at these Constitutional amendments that promise certain rights to all citizens. Learning Objectives. Upon completion, students will be able to BILL OF RIGHTS. Lesson Plan GRADES PDF Free Download 2 BILL OF RIGHTS GRADES 6-8 About this Lesson This lesson, which includes a pre-lesson and several postlesson ideas, is intended to be used Author National Constitution Center In this lesson, students begin by learning about the specific rights and freedoms protected by the Bill of Rights.

What Is the English Bill Of Rights? - Definition, Summary & History Video

What Is the English Bill Of Rights? - Definition, Summary & History Video

Bill of Rights Lesson Plans & Activities - Videos & Lessons ... The Bill of Rights Lesson Plan for Middle School. This lesson plan is designed to provide you with ideas on how to teach your middle school students about the Bill of Rights. Students will learn ...

The Bill of Rights: an introduction

The Bill of Rights: an introduction

bill_of_rights_lesson_plan_-_9_to_12.pdf - The Bill of... | Course Hero bill_of_rights_lesson_plan_-_9_to_12.pdf - The Bill of... School Independence University. Course Title HISTORY 220.

Free Press Lesson Plan - Bill of Rights Institute

Free Press Lesson Plan - Bill of Rights Institute

PDF bill of rights lesson plan PRESENTATION CONTENT TO BE TAUGHT: Bill of Rights. Lesson plans templates. GLE'S/PERORMANCE EXPECTATIONS: 5th grade Civics 1.1.1 Understands the key ideals of liberty and patriotism as outlined in the Declaration of Independence, U.S. Constitution...

The Bill of Rights As Literature Educational Resources K12 ...

The Bill of Rights As Literature Educational Resources K12 ...

Bill of Rights Lesson Plan | PDF | United States Bill Of Rights Direct Instruction Lesson Plan Template. Teachers: Erin Beals Subject: The Bill of Rights. Common Core State Standards Objective (Explicit): • Students will analyze the Bill of Rights and write a list rating the 10 Amendments from the ones they value least to the ones they value most.

The Constitution & Bill of Rights for Special Ed with digital activities

The Constitution & Bill of Rights for Special Ed with digital activities

Free Constitution and Bill of Rights Lesson Plans... | Share My Lesson Looking for more Constitution and Bill of Rights resources? Created and maintained by the American Federation of Teachers, Share My Lesson is a community of teachers, paraprofessionals and school-related personnel, specialized instructional support personnel, higher education faculty, and...

Constitution and Bill of Rights (Lesson Plan, PowerPoint, Activity, and  Quiz)

Constitution and Bill of Rights (Lesson Plan, PowerPoint, Activity, and Quiz)

Bill Of Rights Lesson Plan - Lesson Plans Learning Having a lesson plan is among the most beneficial possessions that you can have when training young children. Often times we as teachers or as parents Their assistance can additionally be a substantial property to you. Law Studies Lesson 6- The Bill Of Rights. I can't emphasize sufficient just how...

The Bill of Rights

The Bill of Rights

The Bill of Rights Lesson Plan, Amendments, Introduction... Excerpt The Bill of Rights originally consisted of the first ten amendments to the Constitution. There were twelve amendments proposed but two of them were not ratified. It is important to have an understanding of the amendments contained in the Bill of Rights.

Bill of Rights in Simple Language | ACLU Delaware

Bill of Rights in Simple Language | ACLU Delaware

Concept-Mapping the Key Terms of the Bill of Rights : Lesson Plans Thinkmap Visual Thesaurus: Lesson Plans - How can students use VocabGrabber and a graphic organizer to help them evaluate the meaning and impact of key concepts in the Bill of Rights?

Bill of Rights ID Lesson Plan

Bill of Rights ID Lesson Plan

Bill of Rights Lesson Plan by Kara Ann Bill of rights document. Closer Look at the first 5 amendments. -Graphic organizer. Work individually or with a partner to decode the amendments. Read the left hand side column first and then on the right side put that into your own words.

19 Bill of Rights Lesson Ideas | bill of rights, social ...

19 Bill of Rights Lesson Ideas | bill of rights, social ...

Bill of Rights Lesson Plan, US Constitution Amendments, Teaching... A reading comprehension lesson on the Bill of Rights. The Bill of Rights is the first ten amendments to the Constitution of the United States of America.

Bill of Rights Day - National Constitution Center

Bill of Rights Day - National Constitution Center

Bill of Rights - National Constitution Center Bill of Rights This lesson, which includes a pre-lesson and several post-lesson ideas, is designed to be used in conjunction with the National Constitution Center’s Bill of Rights show, which is available as part of themed museum packages for groups and the Traveling History & Civics Program for schools.

FREE Bill of Rights Printable Pack | 3rd grade social studies ...

FREE Bill of Rights Printable Pack | 3rd grade social studies ...

A 3-minute guide to the Bill of Rights - Belinda Stutzman | TED-Ed Want a daily email of lesson plans that span all subjects and age groups? Learn more. Daily, Americans exercise their rights secured by the Constitution. The most widely discussed and debated part of the Constitution is known as the Bill of Rights.

Why A Bill of Rights? Lesson Plan for 7th - 8th Grade ...

Why A Bill of Rights? Lesson Plan for 7th - 8th Grade ...

Bill Of Rights Lesson Plan - 01/2022 Lesson Plan The Bill of Rights: Debating the Amendments [Detail] Proposed Amendments to the Constitution, 1789 Jump to: Preparation; Procedure; Evaluation; In this lesson, students will examine a copy of twelve possible amendments to the United States Constitution as originally sent to the states...

Bill Of Rights Activity Teaching Resources | Teachers Pay ...

Bill Of Rights Activity Teaching Resources | Teachers Pay ...

Bill of Rights Scenarios Activity | Lesson Plan Reference Bill of Rights Scenarios: Do They Have a Right? This Storyboard That activity is part of the lesson plans for The Bill of Rights. In this activity, students will create storyboards that reflect real-life scenarios where the Bill of Rights are brought into question.

The Bill of Rights Lesson Plan for 5th Grade | Lesson Planet

The Bill of Rights Lesson Plan for 5th Grade | Lesson Planet

Bill Of Rights Lesson Plans - Krennova Lesson plan the bill of rights debating the amendments detail proposed amendments to the constitution, jump to preparation procedure evaluation in this lesson, students will examine a copy of twelve possible amendments to the united states constitution as originally sent to the states for their...

Bill of Rights Artist Cards - The Art of Education University

Bill of Rights Artist Cards - The Art of Education University

PDF Lesson Plan Lesson Overview and Notes to Teacher: This lesson explains the concept of amendments and . the background of the Bill of Rights in relation to the Constitution. We recommend teaching the lesson on Benjamin Franklin and the U.S. Constitution prior to this one. This lesson covers details about the First Amendment and voting rights.

Do You Have a Right? iCivics asks kids to master the Bill of ...

Do You Have a Right? iCivics asks kids to master the Bill of ...

Bill of Rights, Free PDF Download - Learn Bright Our Bill of Rights lesson plan summarizes and analyzes the Bill of Rights, specifically addressing each of the first ten amendments from the United States Constitution. Examples of their use in America and some of the controversy surrounding the amendments are also discussed.

Lesson 6 Bill of Rights 2 | PDF | United States Bill Of ...

Lesson 6 Bill of Rights 2 | PDF | United States Bill Of ...

Founders' Quotes - Bill of Rights Institute The Bill of Rights Institute engages, educates, and empowers individuals with a passion for the freedom and opportunity that exist in a free society. Learn More Board and Staff FAQs Statement of Academic Integrity Join Our Team Request Professional Development Financials and Transparency Press Information Contact Us

Bill of Rights Activity | Freedom Week | Constitution Day | Digital Option

Bill of Rights Activity | Freedom Week | Constitution Day | Digital Option

Bill of Rights Lesson Plan - Study.com See full list on study.com

Bill of Rights Lesson Plan

Bill of Rights Lesson Plan

The Constitution | iCivics Meet your Constitution Day education requirement with this free and engaging lesson plan. This interactive lesson gives students a quick snapshot of the Constitution, including the purpose of each article, the powers of the three branches, how a bill becomes a law, and the concepts of separation of powers and checks and balances.

240 Teaching USH 8 ideas | teaching history, us history ...

240 Teaching USH 8 ideas | teaching history, us history ...

International Human Rights Law Raio Lesson Plan You may apply international human rights law to a variety of immigration-related issues. In the RAIO context, the primary application of international human rights law arises in the context of adjudicating protection cases.In this lesson plan, the term “protection” will be used to refer to both refugee and asylum adjudications.

Bill of Rights Day for Kids and Teachers - Lesson Plans ...

Bill of Rights Day for Kids and Teachers - Lesson Plans ...

PDF The Bill of Rights - Alive! "200 Years Young" | The Lesson Plans Bill of Rights Lesson Plan Format. Some of the lessons are short and can be completed in one class period. Other lessons are longer and may take Each lesson contains all of the information you will need to plan for and conduct a successful exercise. The format for the Bill of Rights lesson plans is...

Bill of Rights and Beyond | DocsTeach

Bill of Rights and Beyond | DocsTeach

Explaining the Bill of Rights Lesson Plan - Lesson plans for teachers LessonPlans.com archives lesson plans so you can easily find the lessons you need. * define the terms Bill of Rights and amendment, * successfully explain the meaning of each amendment to the Bill of Rights, and * work together in cooperative groups.

Teaching about the Constitution in a special education ...

Teaching about the Constitution in a special education ...

Bill of Rights Lesson Plan with Socrative.com Quiz - Mr. Glusco Lesson Plan: LEARNING FOCUSED SCHOOLS LESSON PLAN Teacher: Carson… · Bill of Rights Poster - Students will pick one of the ten amendments in the Bill of Rights to design a poster for. Students must conduct research on a court case that involves their amendment to include a...

WOODLAND HILLS HIGH SCHOOL LESSON PLAN

WOODLAND HILLS HIGH SCHOOL LESSON PLAN

Bill of Rights: Rights and Responsibilities Lesson Plan for ...

Bill of Rights: Rights and Responsibilities Lesson Plan for ...

Lesson Plan: Bill of Rights

Lesson Plan: Bill of Rights

Do You Know Your Bill of Rights? Lesson Plan for 4th - 12th ...

Do You Know Your Bill of Rights? Lesson Plan for 4th - 12th ...

The Bill of Rights - Bill of Rights Institute

The Bill of Rights - Bill of Rights Institute

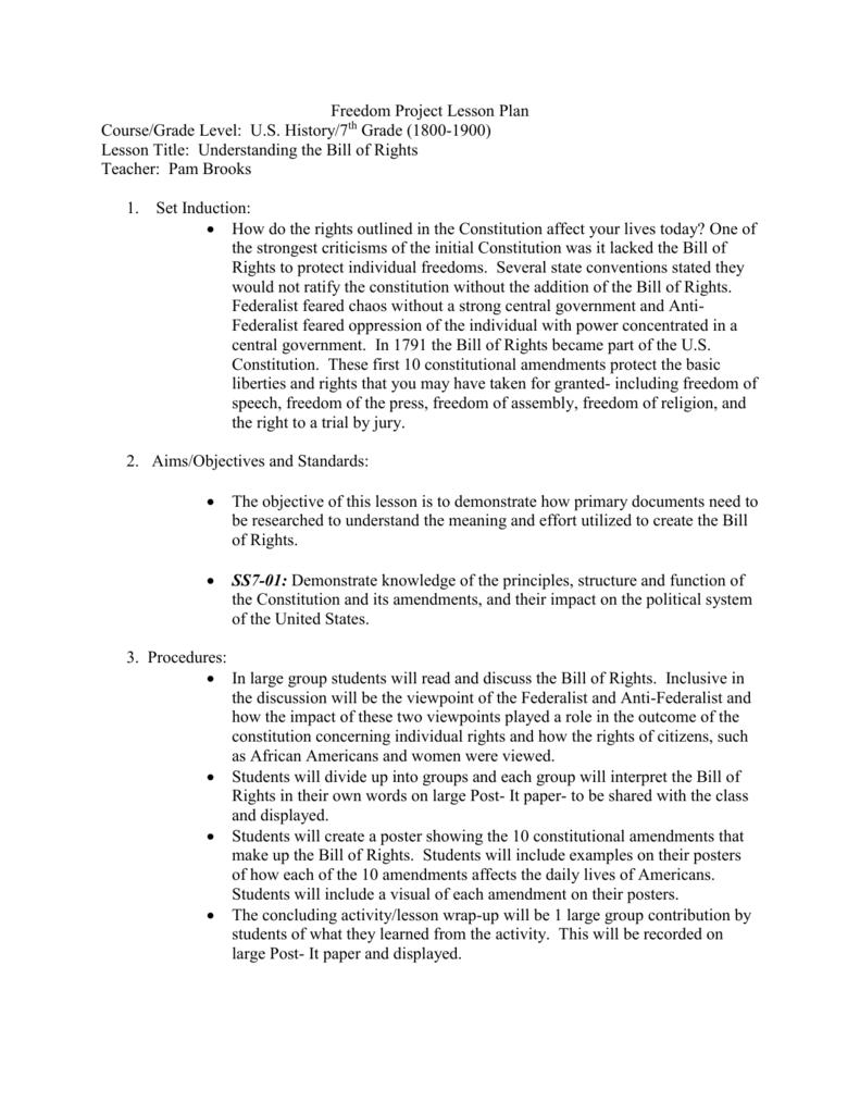
Freedom Project Lesson Plan

Freedom Project Lesson Plan

The Bill of Rights Lesson Plan for 7th Grade | Lesson Planet

The Bill of Rights Lesson Plan for 7th Grade | Lesson Planet

The Creation of the Bill of Rights: “Retouching the Canvas ...

The Creation of the Bill of Rights: “Retouching the Canvas ...

Bill of Rights Master - iCivics

Bill of Rights Master - iCivics

Comparing the Magna Carta and English Bill of Rights with the ...

Comparing the Magna Carta and English Bill of Rights with the ...

Bill Of Rights Lesson Plans Teaching Resources | TpT

Bill Of Rights Lesson Plans Teaching Resources | TpT

Comparing the United States Bill of Rights and the United ...

Comparing the United States Bill of Rights and the United ...

GED® Preparation Lesson Plan Module: Social Studies

GED® Preparation Lesson Plan Module: Social Studies

"Water Bill of Rights" Activity, PDF DOWNLOAD

The Bill of Rights - Bill of Rights Institute

The Bill of Rights - Bill of Rights Institute

Federalism Lesson Plan - Bill of Rights Institute

Federalism Lesson Plan - Bill of Rights Institute

The Bill of Rights Sort - US Constitution Day Activity ...

The Bill of Rights Sort - US Constitution Day Activity ...

Bill of Rights Stretch Book | Bill of Rights Activity by ...

Bill of Rights Stretch Book | Bill of Rights Activity by ...

WOODLAND HILLS SECONDARY LESSON PLAN STAGE I – DESIRED RESULTS

WOODLAND HILLS SECONDARY LESSON PLAN STAGE I – DESIRED RESULTS

0 Response to "43 bill of rights lesson plan"

Post a Comment

Iklan Atas Artikel

Iklan Tengah Artikel 1

Iklan Tengah Artikel 2

Iklan Bawah Artikel